Note that we can show that a hold and sampler system using a continuous plant is equivalent to a discrete plant , and both systems are LTI. Looking at our generic definition of a discrete sampled time data systemβ¦

Where this system is GT LTI but only valid at the sample points. It determines behaviour at the sample points only, meaning in between sample points (inter-sample behaviour), it is not valid.
Note
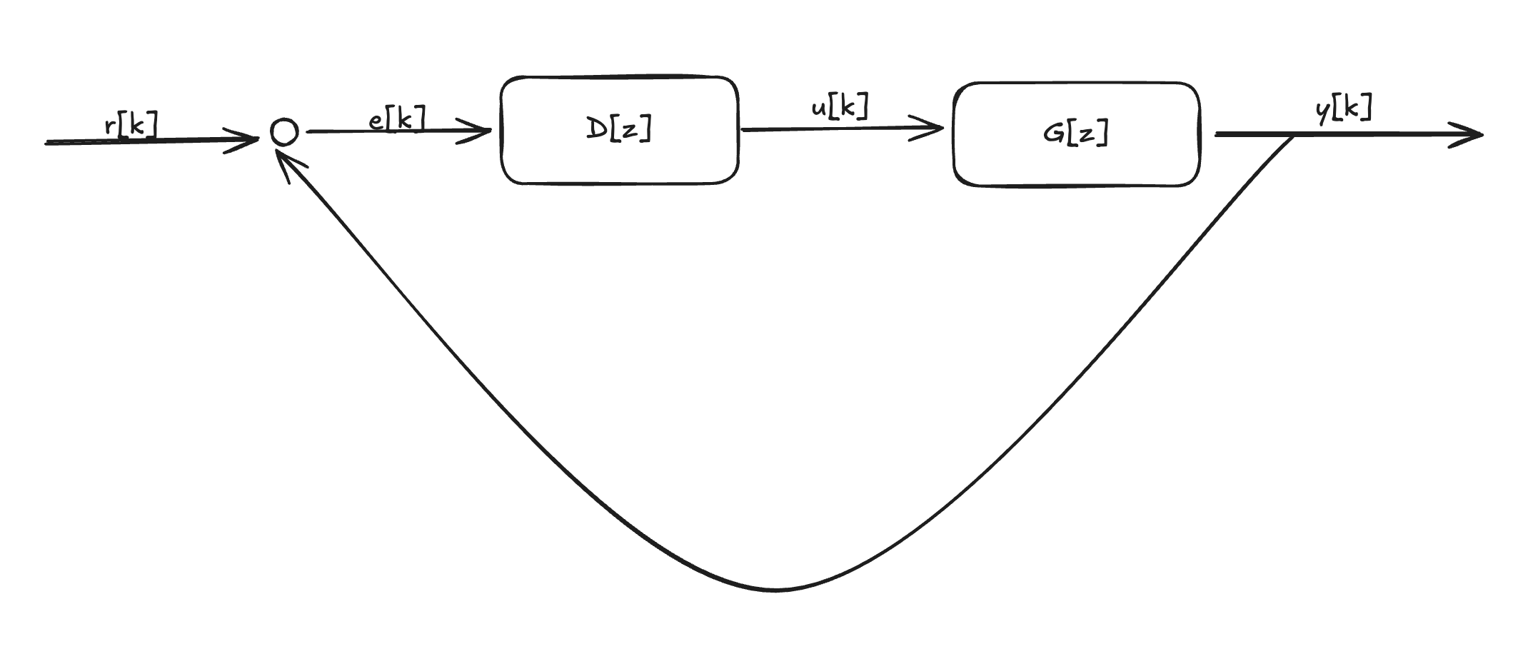
This is the motivation behind the direct design of DT controllers.
Pros
- Transient specs will be satisfied at the sample points
- Closed-loop stability at the sample points
- The output that you get from this tells you exactly what happens with the closed-loop behaviour
- You donβt get these benefits with Emulation Control Design, where with emulation, there will always be some deviation to your final design.
Given a , we want to find a , assuming only has simple poles and no integratorβ¦
We want to find a State Space Realization of
and
Where the B and C matrices can be swapped.
Between samples, is constant soβ¦
in the LaPlace domain, then you want to perform partial fractional decompositionβ¦
and then taking the inverse LaPlace transform yieldsβ¦
for all i.
You can then put this into matrix form as followsβ¦
Naming each matrix , , , , and
We have .
From , and and we can find the solution after β¦
(*)
- Where the term in front of the is and the term in from of the is .
This system is DT LTI!
Taking the Z transform of equation *, we can derive the following equations
- which is or which in matrix form is
- Which becomes , so given a continuous plant , this is how we should recover
For a continuous plant including a double integrator, you can derive where the discretization for a single plant will be derived in Assignment 8.
Method for Estimating System Bandwidth
As you can see here, the poles of the discrete time system are related to the sampling time of the system where as , .
where where this ties into choosing Sampling Time
What about closed loop stability here? (As noted on Nov 7, 2025)