Uses Complex Numbers
Phasor Form
which can also be represented as
Noting that and that this can also be written in its sinusoidal form.

When talking about phasors, we use RMS values.
Voltage and Current Phasor Relationships
and also
remembering that “dividing” angles is subtraction.
Where Z = Impedance, R = Reactance
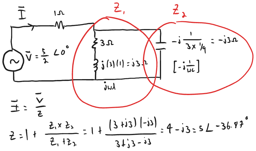
Example (Week 1)

Tips for solving Phasers
- Make use of KVL and KCL (specifically CDR to get branched currents and then V or the other way around (then ohms law))
- Try to use polar form
- the general form of a time expression is
where the root 2 is to turn the RMS value into a peak value